今日は、Mathematicaを使って量子力学の勉強をする。
課題1 無限に深い箱の中の粒子
x = 0とx = Lに無限に高いポテンシャルの壁があり、 0 < x < Lの範囲ではポテンシャルがゼロの場合、その中に閉じ込められた素粒子のエネルギーEnと波動関数は以下のように表される。ここでmは粒子の質量、hはプランク定数である。
ただし、n = 1, 2, 3, 4, …
n = 1, 2, 3, 4のときの波動関数をPlot[ ]を使って描いてみよう。ただし、L = 1とする。
課題2 箱形ポテンシャルの2次元への拡張
無限に深い2次元の箱型ポテンシャル中の粒子のエネルギーと波動関数は、つぎのように表される。
ここで L1とL2は井戸の幅である。簡単のためL1 = L2 = 1 として、この波動関数を3次元プロットと等高線プロットの両方で表してみよう。
a) Plot3D[f[x, y], {x, min, max}, {y, min, max}, AspectRatio -> 1]を使って、3次元プロットする。
b) 等高線プロットにはContourPlot[f[x, y], {x, min, max}, {y, min, max}, AspectRatio -> 1]を使う。
c) 縮退した状態を描いてみよう。
課題3 中心力により球面上を運動する量子力学的粒子の球面調和関数Yl,ml (θ,φ)を図示してみよう。
そのエネルギーはつぎのように表される

ここで、I は慣性モーメントであり、l は方位量子数、mlは磁気量子数である。
l = 0, 1, 2, 3, ...であるのに対し、ml = -l , -l +1, ..., 0, ... ,l -1, l である。
エネルギー状態は方位量子数l のみに依存し、磁気量子数mlには依存しないので、波動関数は(2l + 1)重に縮退している。
このような波動関数を球面調和関数Yl,ml (θ,φ)と呼ぶ。
Yl,ml (θ,φ)の形状についてはアトキンスの物理化学(上)p. 358 の表12.3 などを参考にするように。
マスマティカで球面調和関数はSphericalHarmonicY[l, ml, θ,φ]で表される。
これを使ってSphericalPlot3D[...]で3次元プロットしてみよう。
θとφの範囲はそれぞれ、0からπ、0から2πである。
ただし、波動関数そのものだと虚数部があるのでうまく表示できない。
そこでAbs[ ]により絶対値を取り、その自乗をSphericalPlot3D[ ]でプロットする。
つまり、SphericalPlot3D[Abs[SphericalHarmonicY[l, ml, θ,φ]]^2, ...]として、波動関数ではなく、存在確率を図示する。
また、曲面が粗い場合は、PlotPoints -> 50と指定して解像度を上げる。
曲面の全部が表示されない場合は、PlotRange -> Allと指定する。
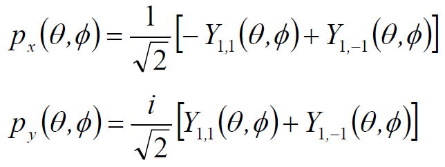
課題4 つぎは球面調和関数Yl,ml (θ,φ)を用いて、水素原子のs 軌道とp 軌道の方位成分を図示してみよう。
(実際の波動関数はこれらと動径波動関数Rn,l(r) をかけ合わせたものになる)
課題3と同様に、Abs[ ]により絶対値を取り、その自乗をSphericalPlot3D[ ]でプロットする。
つまり、波動関数ではなく、存在確率を図示する。
課題5 つぎは球面調和関数Yl,ml (θ,φ)を用いて、水素原子のd 軌道の方位成分を表せ。
課題3と同様に、Abs[ ]により絶対値を取り、その自乗をSphericalPlot3D[ ]でプロットする。つまり、波動関数ではなく、存在確率を図示する。
課題はマスマティカのファイル(拡張子が.nb)を添付して送ってください。
結果のみではなく、コマンドそのものも送ること。
完成したら、ファイルをメールに添付して提出すること。
送り先:ynagasaあっとfc.ritsumei.ac.jp